本文智能厚膜测微仪压力樱桃视频污下载利用单片机的强大功能提高系统的测量精度资料由优质樱桃视频污下载生产报价厂家为您提供。
厚膜微压力传感器是利用厚膜电阻的压阻效应制成的一种新型应变式压力传感器。本发明具有工作温度范围宽、耐腐蚀、蠕变小、重复性好、性价比高等优点。ADuC824是美国AD公司推出的一种新型高性能单片机。樱桃APP下载的上海自动化仪器厂4(zdhybsc)可以利用ADuC824的强大功能来计算和处理传感器信号,以补偿传感器的非线性、零点和温度。ADuC824本身具有资源丰富、体积小、功耗低等优点。厚膜微压力传感器与高性能单片机ADuC824技术相结合,使智能厚膜micro 压力樱桃视频污下载具有优异的特性。
1.工作原理
厚膜智能微压力樱桃视频污下载的原理框图如图1所示。

厚膜微压力传感器将压力信号转换成毫伏信号,经过调理电路后进入模数转换模块。运算处理模块按照一定的算法对数字信号进行处理,如非线性补偿、温度补偿、零点补偿、工程量转换等。,并通过数据采集模块输出20mA电流。电源模块将外部提供的樱桃视频污下载电源电压转换为低压DC工作电源和精密参考电源,该电源可为自身和其他电路供电或使用。
2.硬件设计
2.1高性能单片机
该系统的核心部件是美国ad公司生产的高性能单片机ADuc8242。内核与8051指令集、8kB和640bte闪存/擦除程序、数据存储器和芯片上的256字节ram以及多个外设兼容。ADuC824有两个高精度σ-△ADC,分别为16位和24位。σ-δ型模数转换器具有抗干扰能力强、分辨率高、线性度好、量化噪声低、转换速度快等优点。它广泛应用于传感器和樱桃视频污下载的智能化。传感器输出的毫伏信号可以通过24位主通道输入。主通道是缓冲和可编程的,有8个输入范围可供选择;还可以在输入端设置RC滤波,以消除噪声和减少射频干扰。采用sinc3可编程低通滤波器,可获得5.35 ~ 105.03赫兹输出速率的转换结果。16位辅助通道可以与热敏电阻或热敏电阻二极管相连,也可以直接与片内温度传感器相连。该通道检测到的温度信号可以方便地用于传感器的温度补偿。
2.2串行输入数模转换器
数模转换器是AD公司的AnA2131。由电流回路供电,串行输入16位信号,输出4~20mA电流,实现远程智能工业控制。AD421主要由电压调节器、数模转换器和电流放大器组成。电压调节器从电流回路中汲取电流。引脚LV和V之间的不同连接可以分别产生5V、3.3V和3V的电压,以向AD421和其他电路元件供电。AD421还产生+1.25伏和+2.5伏两个基准电压,数模转换器的数字接口由时钟、数据和锁存器组成。串行数据在移位寄存器中接收,并在时钟的作用下逐位读取。锁存信号将数据锁定在数模转换器中。电流放大器精确放大电流,以确保输入数字量和相应电流的单调性。ADA21可以直接连接到带有串行接口的单片机。没有SP接口的单片机可以通过软件仿真实现。给出了与SP接口的连接方式,如图2所示。

AD421具有正常和报警电流输出模式。如果两个锁存脉冲之间输入16个时钟周期,则锁存16位数字信号,完成正常电流转换。如果输入超过16个时钟周期,则仅输出锁存后的17位数据输入,并输出报警信号。当输入为0至满量程时,输出相应的4 ~ 20mA电流。图3(a)和图3(b)是AD421在两种工作模式下的时序图。

2.3传感器的电源
压阻传感器的主要缺点是易受温度影响。它可以由电压源或恒流源4供电。当由电压源供电时,输入和输出特性为

其中e是电压源;△R为电阻值的变化;R0是每个桥臂的初始电阻值。
当恒流源供电时,输入和输出特性为

恒流源在哪里?
比较方程(1)和(2),得出当电压源供电时,输出与R0有关,当工作温度变化时,R0会产生温度干扰,从而影响输出。然而,当恒流源供电时,没有温度干扰,所以理论上没有温度误差。在实际电路中,由于技术原因,恒流源供电不能完全解决温度的影响。可以采用软件补偿方法进行进一步改进。在该电路中,恒流源用于向传感器供电。只要恒流源两端的电压大于其工作电压,就可以根据系统以及液晶等外围设备的需要控制电流的大小。,可显示运行状态、数据处理结果等。由于整个系统采用高集成度、高性能的器件,电路设计简单方便,可靠性得到提高。
3.软件设计
软件设计采用快速启动开发系统,采用模块化设计,主要完成非线性校正、零点补偿、温度补偿等功能。
3.1非线性校正
非线性校正可采用曲线拟合法或表格法(分段线性插值法)。当多项式次数较高时,曲线拟合法需要时间计算,而表格法可以提高数据处理速度。

其中:p为计算压力值;u为采样电压值;Uk和Uk+1是k点和k+1点的电压值。Pk、Pk+1是k点和k+1点的压力值。对电压值进行采样后,查表找出U所在的区间,然后用上述方法得到P值。
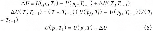
3.2零点补偿和温度补偿
零点补偿的方法类似于非线性校正。厚膜传感器的输出不仅与压力P有关,还与工作温度T有关。当温度T不同时,输出曲线也不同。如果根据一维标定特性计算压力P,将会出现较大误差,因此可以采用多段折线逼近法进行温度补偿。让采样值范围为

补偿电压为

根据反非线性特性,可以得到压力值p。
结论
本文介绍了智能厚膜微处理器的设计。该系统采用高性能芯片,如ADuC824,使电路结构简单,增强了稳定性,减少了误差。利用单片机强大的功能,实现了非线性校正、零点和温度补偿,提高了系统的测量精度。
《智能厚膜测微仪压力樱桃视频污下载利用单片机的强大功能提高系统的测量精度》本文地址:http://www.xxshdjd.com/news/js/761.html 转载请勿删除!
全国服务热线